资中县2023年义务教育阶段招生方案公布,报名条件和方式如下——
时间:2023-05-27 08:56:39 来源:弘资中近日,江粉儿在资中县县教育和体育局了解到,为规范招生入学秩序,促进教育公平,根据《内江市教育和体育局关于做好 2023 年全市普通中小学招生入学工作的通知》(内教基〔2023〕8号)要求,资中县制定2023年义务教育阶段招生入学工作实施方案。 现将大家所关心的问题,公布如下:
招生对象及报名条件
(一)招生类别
具有招生学校划片区域内户籍的适龄儿童少年(以下简称“户籍生”);
2.符合入学优待条件的现役军人、烈士、因公牺牲和病故军人、援藏援疆和国防科研单位工作人员、公安英模及因公牺牲和伤残警察、消防救援人员、抗疫一线医务人员、政府引进并服务于我县的高层次引进人才、城区拆迁安置户和相关文件规定的其他政策照顾对象等子女(以下简称“优抚生”);
3.法定监护人在招生学校划片区域内有房产无户籍的适龄儿童少年(以下简称“购房生”);
4.持有招生学校划片区域内居住证的进城(镇)务工经商人员的适龄子女(以下简称“随迁生”)。
(二)小学招生
招生对象:招收2023年8月31日前年满六周岁(含8月31日)的资中县户籍适龄儿童、需在本县就学的县外符合条件的随迁子女以及其他符合相关政策且未注册全国义务教育阶段学籍的适龄儿童。适龄儿童少年因身体状况需延缓入学的,由法定监护人提出申请,报当地镇人民政府或县教育和体育局批准。
城区小学:严格依据学校划片范围及招生计划招收符合条件的适龄儿童。城区随迁生可申报重龙镇谷田小学、水南镇凉水井小学和资中四中。
民办学校:资中县育才学校和资中县鱼溪利民小学按照县教育和体育局下达的招生计划面向全县招收适龄儿童。
其他小学:按招生计划招收划片区域内适龄儿童。
(三)初中招生
招生对象:资中县户籍小学毕业生、需在本县就学的县外符合条件的随迁子女及其他符合入学政策的小学毕业生。
资中一中:招收划片区域内的优抚生和户籍生;法定监护人在招生区域内有房产或居住证且属招生区域内学校的小学毕业生;法定监护人在城区有房产或居住证且具有水南镇(不含原板栗桠镇,下同)学籍的小学毕业生。
资中二中:招收水南镇的优抚生和户籍生;有重龙镇城区户籍且其法定监护人在水南镇城区内有房产的小学毕业生;法定监护人在水南镇城区内有房产的城区小学毕业生(此类学生报名人数超剩余学位数,实行电脑随机录取)。
资中三中:招收划片区域内的户籍生、优抚生和购房生;符合条件的务工经商人员随迁子女。
球溪中学:招收划片区域内的户籍生;按县教育和体育局下达的招生计划面向全县招收部分需寄宿的小学毕业生。
育才学校:按县教育和体育局下达的招生计划面向全县招收小学毕业生。
其他初中学校:按招生计划招收划片区域内的小学毕业生。
(四)特殊教育招生
资中县特殊教育实验学校面向全县招收具备基本生活自理能力的聋哑及智障适龄儿童少年。各学校不得拒绝接收有学习能力的适龄残疾儿童少年随班就读;无法到校接受义务教育的重度残疾儿童少年,由招生学校实施“一人一案”,提供送教上门或远程视频送教,并纳入学籍管理。
报名方式及材料
所有公、民办新生均需通过“全省招生系统”进行网上报名。报名资料需拍照上传进行系统初审,初审不通过的需在报名结束前修改提交或撤回重新提交。
(一)报名方式
家长下载“川教通”APP或关注“川教通”公众号,也可通过一网通办:www.sczwfw.gov.cn,选择对应学段的升招报名入口去报名(具体操作详见《资中县2023年全省招生系统家长端操作手册》,资中县教育和体育局微信公众号和弘资中等媒体将另文发布)。
(二)报名所需材料
1.户籍生:提供适龄儿童少年与法定监护人同一户籍的户口簿(户口簿首页、父母页和适龄儿童少年页),房户不一致的需提供房产证。
2.优抚生:提供适龄儿童少年与法定监护人同一户籍的户口簿(户口簿首页、父母页和适龄儿童少年页)、法定监护人实名房产证(居住证或社区出具的居住证明)、相关优待文件规定的证书、证件、证明等原件。
3.购房生:提供适龄儿童少年与法定监护人同一户籍的户口簿(户口簿首页、父母页和适龄儿童少年页)、法定监护人房产证等住所证明材料原件(按揭的提供银行盖鲜章的房屋产权证复印件或不动产登记信息表;未取得房屋产权证的提供商品房预售备案通知书或购房合同)。
4.随迁生:提供适龄儿童少年与法定监护人同一户籍的户口簿原件(户口簿首页、父母页和适龄儿童少年页)、法定监护人或适龄儿童少年居住证原件、法定监护人在本县经商的营业执照原件或与用人单位依法签订的劳动就业合同、法定监护人在本县连续依法缴纳社会保险费满6个月以上的证明。
以上四类适龄儿童少年户主或法定监护人不是父母的,需提供出生证等证明材料原件。城区户籍生认定户籍迁入的截止时间为当年4月30日(含4月30日)。条件中的房产指适龄儿童少年本人或法定监护人自有的房产,房产用途(性质)须为住房。社区或单位建设的小产权房需提供社区或单位出具的产权证明。
(三)现场审核资料清单
以上四类适龄儿童少年网报信息所需材料的原件和复印件1份。
录取办法
资中县教育和体育局以及各招生学校按照划片招生、就近入学、户籍优先、统筹安排的原则,首先录取户籍生和优抚生入学,再根据学校剩余学位数,统筹解决购房生和随迁生入学。同等情况遇学位不足时,采取电脑随机录取或以户籍迁入时间、房产登记时间、办理居住证时间先后等为依据,依次录取,额满为止。
(一)户籍生录取办法
第一批次录取招生划片区域内与法定监护人户籍地一致且户籍地与实际居住地一致的适龄儿童少年。
第二批次录取招生划片区域内有户籍,其法定监护人在招生划片区域内无房产的适龄儿童少年。
第三批次录取有城区户籍且其法定监护人在招生划片区域内有房产的适龄儿童少年(此批次仅适用于城区学校)。
(二)优抚生录取办法
1.符合入学优待条件的现役军人、烈士、因公牺牲和病故军人、援藏援疆和国防科研单位工作人员、公安英模及因公牺牲和伤残警察、消防救援人员、抗疫一线医务人员、政府引进并服务于我县的高层次引进人才等群体子女,随监护人在户籍地或居住地就近入学(第一批次录取)。
2.孤儿和事实无人抚养儿童,随监护人在居住地就近入学;尚未安置的拆迁户子女在居住地就近入学(第二批次录取)。
3.市教育和体育局、县政府文件规定的其他政策照顾对象由县教育和体育局统筹安排。照顾对象由管理单位审核后,于6月10日前将就学名单汇总表以正式文件的形式函送县教育和体育局,同时将相关审核材料复印件附后备查。其他需政策照顾的适龄儿童少年按相关文件执行。
(三)购房生录取办法
第一批次录取法定监护人在招生划片区域内有房产且已实际入住的适龄儿童少年。
第二批次录取法定监护人在招生划片区域内有房产未入住的适龄儿童少年。
第三批次录取祖父母或外祖父母在招生划片区域内有房产且在同一户口本的适龄儿童少年。
(四)随迁生录取办法
落实以居住证为主要依据的随迁子女入学政策,符合条件的随迁生在居住地所属划片学校有空余学位情况下申报学位,按照其法定监护人办理居住证先后时间依次录取(同等条件下缴纳社保者优先)。未被录取的适龄儿童少年,由县教育和体育局或镇中心学校、直管学校统筹安排到其他相对就近且有空余学位的学校就读。其他学校也无空余学位或不服从调配的,可以选择就读民办学校或回户籍所在地就读。
(五)其他类录取说明
1.各镇中心学校划片区域内小学毕业生,符合相应条件到其他学校申请学位,需提供户籍划片招生学校校长签字并加盖学校公章的学籍信息卡。
2.多子女家庭的弟弟妹妹按照家长意愿可申请录取到哥哥姐姐同校就读,家长在优抚生批次申请学位,申请学位时需上传适龄儿童与法定监护人同一户籍的户口簿(户口簿首页、父母页、适龄儿童及哥哥姐姐页)、哥哥姐姐在读学校的学籍信息卡(需盖学校公章)。
3.资中县实验小学、水南镇和鸣小学设招生缓冲区,招生学校按照录取办法,首先招收本校划片区域的同类适龄儿童,再根据剩余学位按批次依次录取缓冲区的适龄儿童。
报名时间安排
幼升小报名时间:6月5日上午9:00—6月14日下午17:30。
小升初报名时间:7月5日上午9:00—7月14日下午17:30。
特别提示:确因条件限制无法进行网上报名的,家长可于网上报名登记时间内,持报名所需资料到就读幼儿园或招生学校,由学校指导或协助填报。
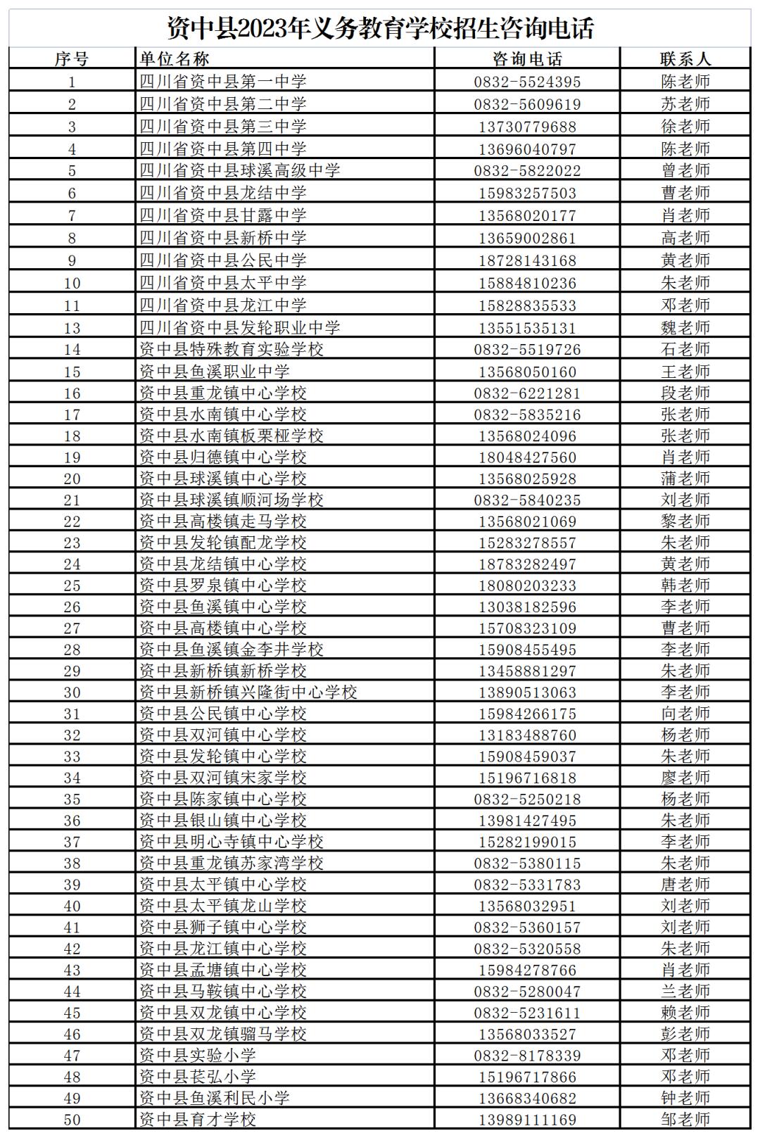
县教育体育局设立招生政策咨询和违规招生举报电话,接受学生、家长和社会各界招生政策咨询,受理有关违规招生的举报和投诉。
招生政策咨询电话:
0832-5518492
0832-5522773
招生违规举报电话:
0832-5526317

资中县2023年义务教育阶段学校招生范围及计划


| 编辑: | 钟欣航 |
| 校对: | 刘桂莲 |
| 责编: | 郭扬 |
| 审核: | 程云 |

